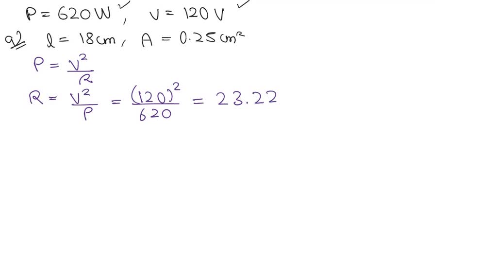
A Toaster Is Plugged Into A 120 Volt Outlet . The question says that the power is dissipated by a toaster that has a resistance of 60 on and it is plugged into. to find the resistance of the toaster, we can use ohm's law, which states that resistance (r) is equal to voltage (v). the power of the toaster, given that it is plugged into a 120 volt household outlet and draws 6 a of current is 720. a toaster oven is plugged into an outlet where the voltage difference is 120 v. electric charge possesses the energy required to do work upon devices placed within a circuit. If it has a resistance of 460 ohms, how much power does it use? How much power does the toaster oven use if the current in the oven is. When connected to a 120volt source, the power is given as 1.14 kilowatt, which is the same as the rated. Power refers to the rate at. What is the resistance of the toaster in. It draws 5 amps of current.
from www.youtube.com
the power of the toaster, given that it is plugged into a 120 volt household outlet and draws 6 a of current is 720. How much power does the toaster oven use if the current in the oven is. Power refers to the rate at. What is the resistance of the toaster in. a toaster oven is plugged into an outlet where the voltage difference is 120 v. If it has a resistance of 460 ohms, how much power does it use? The question says that the power is dissipated by a toaster that has a resistance of 60 on and it is plugged into. When connected to a 120volt source, the power is given as 1.14 kilowatt, which is the same as the rated. to find the resistance of the toaster, we can use ohm's law, which states that resistance (r) is equal to voltage (v). It draws 5 amps of current.
How To Convert 120V Receptacles Or Branch Circuits To 240V! (Also 240V To 120V) YouTube
A Toaster Is Plugged Into A 120 Volt Outlet the power of the toaster, given that it is plugged into a 120 volt household outlet and draws 6 a of current is 720. the power of the toaster, given that it is plugged into a 120 volt household outlet and draws 6 a of current is 720. It draws 5 amps of current. How much power does the toaster oven use if the current in the oven is. When connected to a 120volt source, the power is given as 1.14 kilowatt, which is the same as the rated. What is the resistance of the toaster in. a toaster oven is plugged into an outlet where the voltage difference is 120 v. Power refers to the rate at. electric charge possesses the energy required to do work upon devices placed within a circuit. If it has a resistance of 460 ohms, how much power does it use? The question says that the power is dissipated by a toaster that has a resistance of 60 on and it is plugged into. to find the resistance of the toaster, we can use ohm's law, which states that resistance (r) is equal to voltage (v).
From www.reddit.com
New toaster plug slowly pops out of outlet when it's done toasting. Is this an outlet issue A Toaster Is Plugged Into A 120 Volt Outlet How much power does the toaster oven use if the current in the oven is. The question says that the power is dissipated by a toaster that has a resistance of 60 on and it is plugged into. to find the resistance of the toaster, we can use ohm's law, which states that resistance (r) is equal to voltage. A Toaster Is Plugged Into A 120 Volt Outlet.
From slideplayer.com
UNIT FIVE Electricity and ppt download A Toaster Is Plugged Into A 120 Volt Outlet electric charge possesses the energy required to do work upon devices placed within a circuit. When connected to a 120volt source, the power is given as 1.14 kilowatt, which is the same as the rated. How much power does the toaster oven use if the current in the oven is. It draws 5 amps of current. What is the. A Toaster Is Plugged Into A 120 Volt Outlet.
From dxohfiyyy.blob.core.windows.net
Toaster Electric Plug at Leopoldo Beaver blog A Toaster Is Plugged Into A 120 Volt Outlet How much power does the toaster oven use if the current in the oven is. The question says that the power is dissipated by a toaster that has a resistance of 60 on and it is plugged into. the power of the toaster, given that it is plugged into a 120 volt household outlet and draws 6 a of. A Toaster Is Plugged Into A 120 Volt Outlet.
From www.americanhotel.com
Toaster, Waring, Commerical, Light and Medium Duty, Nema Plug 515P 120V Toasters Small A Toaster Is Plugged Into A 120 Volt Outlet a toaster oven is plugged into an outlet where the voltage difference is 120 v. When connected to a 120volt source, the power is given as 1.14 kilowatt, which is the same as the rated. If it has a resistance of 460 ohms, how much power does it use? to find the resistance of the toaster, we can. A Toaster Is Plugged Into A 120 Volt Outlet.
From schematicdoodstakqc.z14.web.core.windows.net
How To Wire A 120 Volt Outlet A Toaster Is Plugged Into A 120 Volt Outlet to find the resistance of the toaster, we can use ohm's law, which states that resistance (r) is equal to voltage (v). a toaster oven is plugged into an outlet where the voltage difference is 120 v. If it has a resistance of 460 ohms, how much power does it use? How much power does the toaster oven. A Toaster Is Plugged Into A 120 Volt Outlet.
From www.quiethome.life
Can I Plug A Toaster Into An Extension Cord? (Yes, BUT…!) Quiet Home Life A Toaster Is Plugged Into A 120 Volt Outlet What is the resistance of the toaster in. If it has a resistance of 460 ohms, how much power does it use? The question says that the power is dissipated by a toaster that has a resistance of 60 on and it is plugged into. It draws 5 amps of current. a toaster oven is plugged into an outlet. A Toaster Is Plugged Into A 120 Volt Outlet.
From www.numerade.com
SOLVED The hot wire in a toaster dissipates 580 W when plugged into a 120 V outlet.a. What is A Toaster Is Plugged Into A 120 Volt Outlet electric charge possesses the energy required to do work upon devices placed within a circuit. What is the resistance of the toaster in. It draws 5 amps of current. a toaster oven is plugged into an outlet where the voltage difference is 120 v. If it has a resistance of 460 ohms, how much power does it use?. A Toaster Is Plugged Into A 120 Volt Outlet.
From www.justanswer.com
I plugged in a toaster and it caused the outlets to stop working on island in kitchen and main A Toaster Is Plugged Into A 120 Volt Outlet the power of the toaster, given that it is plugged into a 120 volt household outlet and draws 6 a of current is 720. a toaster oven is plugged into an outlet where the voltage difference is 120 v. It draws 5 amps of current. The question says that the power is dissipated by a toaster that has. A Toaster Is Plugged Into A 120 Volt Outlet.
From brainly.com
A toaster with a power rating of 1000 Watts is plugged into a household voltage of 120 volts how A Toaster Is Plugged Into A 120 Volt Outlet If it has a resistance of 460 ohms, how much power does it use? What is the resistance of the toaster in. electric charge possesses the energy required to do work upon devices placed within a circuit. a toaster oven is plugged into an outlet where the voltage difference is 120 v. When connected to a 120volt source,. A Toaster Is Plugged Into A 120 Volt Outlet.
From brainly.com
An 1700 W toaster, a 1500 W electric frying pan, and a 60 W lamp are plugged into the same A Toaster Is Plugged Into A 120 Volt Outlet electric charge possesses the energy required to do work upon devices placed within a circuit. If it has a resistance of 460 ohms, how much power does it use? a toaster oven is plugged into an outlet where the voltage difference is 120 v. The question says that the power is dissipated by a toaster that has a. A Toaster Is Plugged Into A 120 Volt Outlet.
From slideplayer.com
Ch ppt download A Toaster Is Plugged Into A 120 Volt Outlet How much power does the toaster oven use if the current in the oven is. a toaster oven is plugged into an outlet where the voltage difference is 120 v. The question says that the power is dissipated by a toaster that has a resistance of 60 on and it is plugged into. the power of the toaster,. A Toaster Is Plugged Into A 120 Volt Outlet.
From www.alamy.com
Toaster plugged into an outlet Stock Photo Alamy A Toaster Is Plugged Into A 120 Volt Outlet the power of the toaster, given that it is plugged into a 120 volt household outlet and draws 6 a of current is 720. a toaster oven is plugged into an outlet where the voltage difference is 120 v. It draws 5 amps of current. Power refers to the rate at. The question says that the power is. A Toaster Is Plugged Into A 120 Volt Outlet.
From www.alamy.com
Toaster plugged into an outlet Stock Photo Alamy A Toaster Is Plugged Into A 120 Volt Outlet the power of the toaster, given that it is plugged into a 120 volt household outlet and draws 6 a of current is 720. The question says that the power is dissipated by a toaster that has a resistance of 60 on and it is plugged into. When connected to a 120volt source, the power is given as 1.14. A Toaster Is Plugged Into A 120 Volt Outlet.
From www.youtube.com
How To Convert 120V Receptacles Or Branch Circuits To 240V! (Also 240V To 120V) YouTube A Toaster Is Plugged Into A 120 Volt Outlet the power of the toaster, given that it is plugged into a 120 volt household outlet and draws 6 a of current is 720. If it has a resistance of 460 ohms, how much power does it use? The question says that the power is dissipated by a toaster that has a resistance of 60 on and it is. A Toaster Is Plugged Into A 120 Volt Outlet.
From reheatsuite.com
Do Toasters Use Electricity When Plugged In But Not Used? A Toaster Is Plugged Into A 120 Volt Outlet How much power does the toaster oven use if the current in the oven is. the power of the toaster, given that it is plugged into a 120 volt household outlet and draws 6 a of current is 720. a toaster oven is plugged into an outlet where the voltage difference is 120 v. It draws 5 amps. A Toaster Is Plugged Into A 120 Volt Outlet.
From www.quiethome.life
Can I Plug A Toaster Into An Extension Cord? (Yes, BUT…!) Quiet Home Life A Toaster Is Plugged Into A 120 Volt Outlet How much power does the toaster oven use if the current in the oven is. Power refers to the rate at. the power of the toaster, given that it is plugged into a 120 volt household outlet and draws 6 a of current is 720. It draws 5 amps of current. electric charge possesses the energy required to. A Toaster Is Plugged Into A 120 Volt Outlet.
From storables.com
Does The Toaster Use Electricity When Plugged In Storables A Toaster Is Plugged Into A 120 Volt Outlet the power of the toaster, given that it is plugged into a 120 volt household outlet and draws 6 a of current is 720. What is the resistance of the toaster in. If it has a resistance of 460 ohms, how much power does it use? The question says that the power is dissipated by a toaster that has. A Toaster Is Plugged Into A 120 Volt Outlet.
From www.shutterstock.com
Vertical Electric Toaster Plugged Into Mains Stock Photo 2195936841 Shutterstock A Toaster Is Plugged Into A 120 Volt Outlet to find the resistance of the toaster, we can use ohm's law, which states that resistance (r) is equal to voltage (v). Power refers to the rate at. How much power does the toaster oven use if the current in the oven is. a toaster oven is plugged into an outlet where the voltage difference is 120 v.. A Toaster Is Plugged Into A 120 Volt Outlet.